夜间模式
  • 20588阅读
  • 12回复

[家长里短]2025专转本学校和专业公布了 [复制链接]

上一主题 下一主题
帅哥离线千代子帽业
级别: 昆山名人

发帖
24171
昆币
98460 枚
爆料
1
只看楼主 使用道具 电梯直达
楼主  发表于: 05-17 , 来自:江苏省0==
上了普高不努力学,
等去了大专再想往上走,
越来越艰难了,
公办本科几乎都不收了……
所以如果初中全靠补课上的高中,
3加4那种本地学校的公办本科也是奢望了吧?
职教高考全省那么多学校和人生,才招那么点人,就那么几个公办本科……
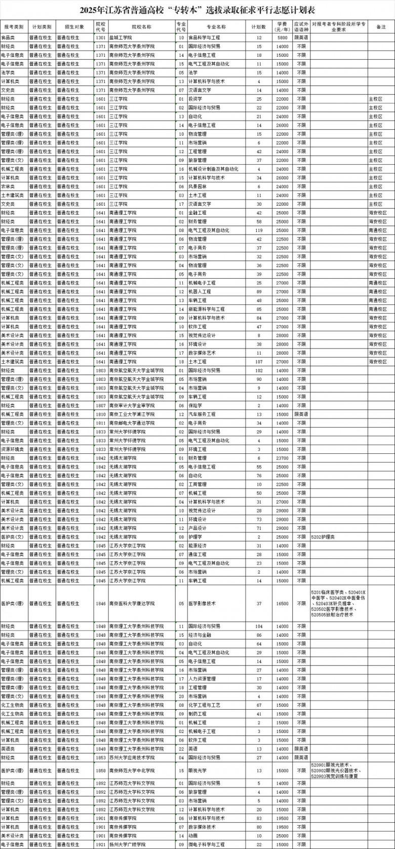
最后一张补录征求志愿的人数和学校,
看看数据就知道了,
大力宣传的职教高考录取率高,并没有想的那么容易,能考上的,在同龄人里也是菜鸟中的学霸哇






本帖评分记录
123abc交通 昆币 +1 -来自昆山论坛APP 05-18
倾城风雪 昆币 +1 -来自昆山论坛APP 05-18
klcy915246 昆币 +1 -来自昆山论坛APP 05-18
金鹰新天地 昆币 +1 -来自昆山论坛APP 05-18
好人一 昆币 +1 -来自昆山论坛APP 05-18
金箭小鲍 昆币 +1 -来自昆山论坛APP 05-18
快车道 昆币 +1 -来自昆山论坛APP 05-18
随性 昆币 +1 -来自昆山论坛APP 05-18
毛线球555 昆币 +1 -来自昆山论坛APP 05-18
李钧炜 昆币 +1 -来自昆山论坛APP 05-17
12
12条评分昆币+12
爆料有奖!关注昆山论坛抖音号,抖音搜索“昆山论坛”,或搜索抖音号:ksbbs
 
帅哥离线十年后怎么样
级别: 昆山名人
发帖
40735
昆币
49829 枚
沙发  发表于: 05-17 , 来自:江苏省0==
自己不拼搏,没啥意思
本帖评分记录
千代子帽业 昆币 +1 -来自昆山论坛APP 05-17
1条评分昆币+1
爆料有奖!关注昆山论坛抖音号,抖音搜索“昆山论坛”,或搜索抖音号:ksbbs
 
帅哥在线我是乡下人

发帖
16872
昆币
251 枚
爆料
1
板凳  发表于: 05-17 , 来自:江苏省0==
高中考了个大专,那补课费也是白砸了
本帖评分记录
颱風天 昆币 +1 -来自昆山论坛APP 05-19
1条评分昆币+1
爆料有奖!关注昆山论坛抖音号,抖音搜索“昆山论坛”,或搜索抖音号:ksbbs
 
帅哥离线双鱼猫咪
发帖
4014
昆币
7980 枚
地板  发表于: 05-17 , 来自:江苏省0==
爆料有奖!关注昆山论坛抖音号,抖音搜索“昆山论坛”,或搜索抖音号:ksbbs
 
离线553160895
级别: 昆山过客
发帖
25
昆币
25 枚
4楼 发表于: 05-18 , 来自:江苏省0==
。。。。。。。。。。。。
爆料有奖!关注昆山论坛抖音号,抖音搜索“昆山论坛”,或搜索抖音号:ksbbs
 
帅哥离线亮剑中原
发帖
8251
昆币
10404 枚
5楼 发表于: 05-18 , 来自:江苏省0==
加油加油
本帖评分记录
金鹰新天地 昆币 +1 -来自昆山论坛APP 05-18
1条评分昆币+1
爆料有奖!关注昆山论坛抖音号,抖音搜索“昆山论坛”,或搜索抖音号:ksbbs
 
离线小悠轩
级别: 昆山过客
发帖
61
昆币
112 枚
6楼 发表于: 05-18 , 来自:江苏省0==
职教高考计算机本科上岸
爆料有奖!关注昆山论坛抖音号,抖音搜索“昆山论坛”,或搜索抖音号:ksbbs
 
帅哥离线xiaoma2008
级别: 昆山名人

发帖
26317
昆币
52329 枚
7楼 发表于: 05-18 , 来自:江苏省0==
3+4相当不错了,只是好多孩子或家长看不上,只以为上了普高选择更多,真的更好吗,多的,是要分数说话的!
爆料有奖!关注昆山论坛抖音号,抖音搜索“昆山论坛”,或搜索抖音号:ksbbs
 
级别: 昆山过客
发帖
52
昆币
100 枚
8楼 发表于: 05-18 , 来自:江苏省0==
严重误导。首先,升本的通道越来越畅通,将来读研究生亦是如此。其次,职教高考非常容易。因为参加职教高考的分普通中专班和职教高考对口班。普通中专班肯定是考不上本科的,因为没接受过专门的训练。职教高考对口班经过专门的训练,是否容易升本取决于教学质量。苏州的学校升本率一直都很高的,昆山又是苏州里面最好的,有的专业本科率近乎百分之百。所以,请不要道听途说,误导大家。
楼中楼
  • 2025-05-18 15:57 xiaoma2008: 升本通道是多,函授,成教,网络,但含金量相对全日制本科是多少呢! 职教高考现在所承现给人们是不错,但是这个通道也会越来越难,因为现在所选择的人在增多,学校就那几所;而专转本里面,不少学校不在接收专转本了,这个通道也是变窄!当然每个人观点不同,所谓的仁者见仁智者见智吧,看自我理解了!
爆料有奖!关注昆山论坛抖音号,抖音搜索“昆山论坛”,或搜索抖音号:ksbbs
 
在线大帝
发帖
4059
昆币
13409 枚
9楼 发表于: 05-18 , 来自:江苏省0==
1、大专和普本,基本上都是为别人做韭菜。
2、普本固然有考公进国的希望,但概率太低,多数还是打工命。
3、还不如初中扎实学点技能,早几年打工省了几十万还学到真知识。
本帖评分记录
13511621133 昆币 +1 -来自昆山论坛APP 05-20
123abc交通 昆币 +1 -来自昆山论坛APP 05-18
2条评分昆币+2
爆料有奖!关注昆山论坛抖音号,抖音搜索“昆山论坛”,或搜索抖音号:ksbbs
 
快速回复
限76 字节
批量上传需要先选择文件,再选择上传
 
上一个 下一个