夜间模式
  • 14106阅读
  • 29回复

[家长里短]淮安教育局招聘学校老师,大家看看啊 [复制链接]

上一主题 下一主题
离线鹿城四哥
发帖
17092
昆币
27966 枚
只看楼主 使用道具 电梯直达
楼主  发表于: 08-08 , 来自:江苏省0==
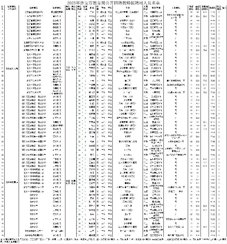
里面很多专业竟然也能报考学校老师,四哥表示不理解,请大家解读一下啊
本帖评分记录
断念 昆币 +1 -来自昆山论坛APP 08-08
鱼走海哭 昆币 +1 -来自昆山论坛APP 08-08
2条评分昆币+2
爆料有奖!关注昆山论坛抖音号,抖音搜索“昆山论坛”,或搜索抖音号:ksbbs
 
离线cesc
发帖
3634
昆币
5468 枚
沙发  发表于: 08-08 , 来自:上海市0==
四哥你糊了
本帖评分记录
十年后怎么样 昆币 +1 -来自昆山论坛APP 08-08
鹿城四哥 昆币 +1 -来自昆山论坛APP 08-08
2条评分昆币+2
爆料有奖!关注昆山论坛抖音号,抖音搜索“昆山论坛”,或搜索抖音号:ksbbs
 
离线鹿城四哥
发帖
17092
昆币
27966 枚
板凳  发表于: 08-08 , 来自:江苏省0==
晕,图看不清吗
本帖评分记录
鹿城四哥 昆币 +1 -来自昆山论坛APP 08-08
1条评分昆币+1
爆料有奖!关注昆山论坛抖音号,抖音搜索“昆山论坛”,或搜索抖音号:ksbbs
 
离线鹿城四哥
发帖
17092
昆币
27966 枚
地板  发表于: 08-08 , 来自:江苏省0==
本帖评分记录
鹿城四哥 昆币 +1 -来自昆山论坛APP 08-08
1条评分昆币+1
爆料有奖!关注昆山论坛抖音号,抖音搜索“昆山论坛”,或搜索抖音号:ksbbs
 
离线鹿城四哥
发帖
17092
昆币
27966 枚
4楼 发表于: 08-08 , 来自:江苏省0==
现在呢,我又重新贴了一下
本帖评分记录
鹿城四哥 昆币 +1 -来自昆山论坛APP 08-08
1条评分昆币+1
爆料有奖!关注昆山论坛抖音号,抖音搜索“昆山论坛”,或搜索抖音号:ksbbs
 
美女离线艾柠酒酒
发帖
1782
昆币
2449 枚
5楼 发表于: 08-08 , 来自:江苏省0==
我也看到了
爆料有奖!关注昆山论坛抖音号,抖音搜索“昆山论坛”,或搜索抖音号:ksbbs
 
美女离线艾柠酒酒
发帖
1782
昆币
2449 枚
6楼 发表于: 08-08 , 来自:江苏省0==
淮安发布
爆料有奖!关注昆山论坛抖音号,抖音搜索“昆山论坛”,或搜索抖音号:ksbbs
 
离线pananny
发帖
3227
昆币
6547 枚
7楼 发表于: 08-08 , 来自:江苏省0==
护理可以当语文老师?
肯定是我眼花了
爆料有奖!关注昆山论坛抖音号,抖音搜索“昆山论坛”,或搜索抖音号:ksbbs
 
离线ilycn2000

发帖
3146
昆币
6433 枚
8楼 发表于: 08-08 , 来自:上海市0==
        
爆料有奖!关注昆山论坛抖音号,抖音搜索“昆山论坛”,或搜索抖音号:ksbbs
 
美女离线Andybetter

发帖
11784
昆币
8381 枚
9楼 发表于: 08-08 , 来自:浙江0==
回 pananny 的帖子
pananny:护理可以当语文老师?
肯定是我眼花了 (2025-08-08 12:38)

她肯定有考取教师资格证,要不也不可能同意报考的,她现在还是在职状态。
爆料有奖!关注昆山论坛抖音号,抖音搜索“昆山论坛”,或搜索抖音号:ksbbs
 
快速回复
限76 字节
如果您提交过一次失败了,可以用”恢复数据”来恢复帖子内容
 
上一个 下一个